Jawaban tidak Memuaskan, Warga Kesal tidak di Pekerjakan oleh PT UTS
ROHIL (KHC) - Mediasi dilakukan Pemerintah Kecamatan Balai Jaya untuk penyelesaian perselisihan antara PT Ujung Tanjung Sejahtera (UTS) dengan sejumlah pengurus koperasi berbuntut kekecewaan di pihak masyarakat.
Pasalnya, jawaban perusahaan atas tujuh tuntutan koperasi dan masyarakat yang disampaikan pada Jumat (3/10) kemarin, hanya satu poin yang dipenuhi PT UTS.
“Kami sudah sampaikan tujuh poin tuntutan secara jelas saat mediasi di kantor camat, tapi hanya satu poin saja yang disetujui oleh perusahaan, melihat jawaban ini saya selaku ketua lepas tangan," kata Ketua Koperasi Produsen Balam Tani Jaya Wanton Siringoringo saat ditemui wartawan, Kamis (9/10).
Disisi lain, Sejumlah warga Balam KM 31 juga mengatakan bahwa jawaban PT UTS terhadap tuntutan masyarakat sangat tidak mendukung aspirasi yang sudah disampaikan.
"Jawaban perusahaan membuat kami kecewa, dan masyarakat tidak puas dan kami bakal turun ke di lokasi rumbia satu dan rumbia dua," sebut warga itu.
Sementara, Camat Balai Jaya, Muhammad Fauzan juga mengungkapkan rasa kecewa terhadap jawaban PT Ujung Tanjung Sejahtera terkait tujuh poin tuntutan diajukan koperasi, kelompok tani dan warga tempatan.
Ini disebabkan penanggapan dari perusahaan masih perlu adanya perubahan poin tuntutan pihak koperasi, poktan dan masyarakat tempatan.
"Saya sangat kecewa, karena jawaban mereka belum menunjukkan itikad baik untuk menindaklanjuti aspirasi masyarakat. Seharusnya, poin tuntutan itu bisa membuat para koperasi, poktan dan warga mendapat solusi baik," kata Camat Fauzan.
Meski begitu, Camat Balai Jaya M Fauzan menegaskan pihaknya akan tetap berupaya mencari jalan tengah agar hubungan antara masyarakat dan perusahaan dapat berjalan harmonis.
Pemerintah kecamatan juga berencana melaporkan hasil mediasi ini ke tingkat kabupaten untuk mendapatkan tindak lanjut yang lebih tegas.
Mediasi ini melibatkan Koperasi Produsen Balam Tani Jaya, Poktan Pesisir Jaya, dan Koperasi Permata Rohil.
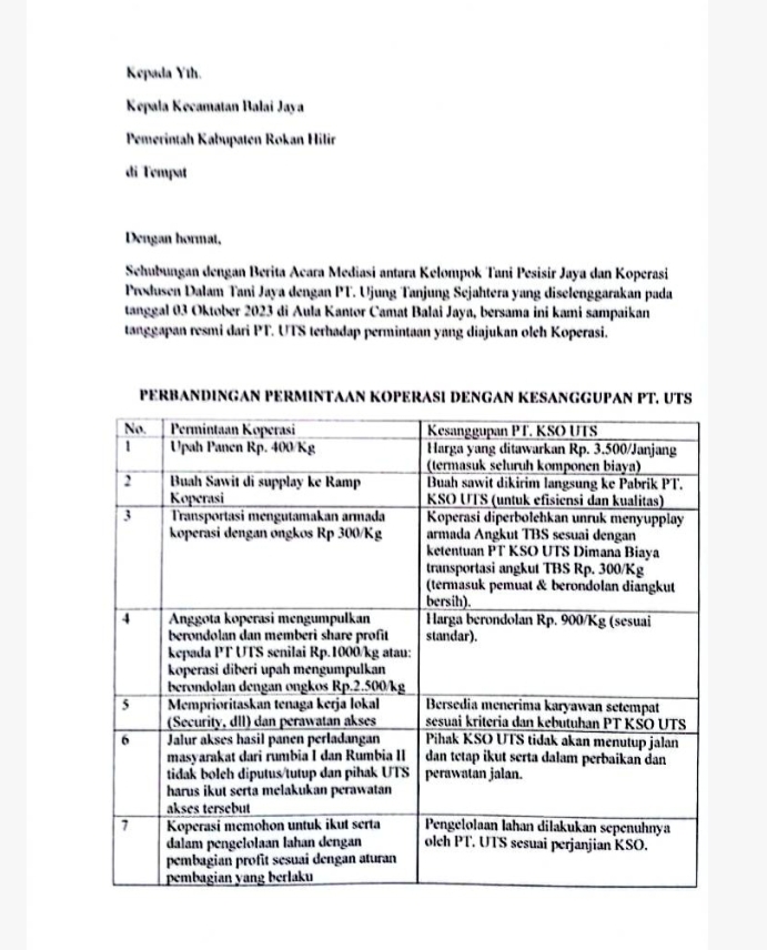
Sebelumnya, koperasi, poktan dan warga menyampaikan sejumlah tuntutan, yaitu, upah panen Rp400 perkilo, Buah Sawit disuplay ke Ramp Koperasi, Transportasi mengutamakan armada koperasi dengan ongkos Rp300 perkilo.
Kemudian, anggota koperasi mengumpulkan brondolan dan memberi/share profit kepada PT UTS senilai Rp1000 perkilo atau diberi upah mengumpulkan brondolan dengan ongkos Rp2500 perkilo.
Selanjutnya, memprioritaskan tenaga kerja lain seperti security diambil dari warga tempatan, jalan atau akses hasil panen perladangan masyarakat dari Rumbia I dan Rumbia II tidak boleh diputus/tutup dan pihak UTS harus ikut serta melakukan perawatan akses tersebut.
Poin terakhir, Koperasi memohon untuk ikut serta dalam pengelolaan lahan dengan pembagian profit sesuai dengan aturan pembagian yang berlaku.
Berikut poin jawaban PT UTS melalui surat dan dikirim ke Camat Balai Jaya, yaitu, harga yang ditawarkan Rp3.500 perkilo perjanjang (termasuk seluruh komponen biaya), Buah sawit dikirim langsung ke Pabrik PT KSO UTS (untuk efisiensi dan kualitas)
Kemudian, koperasi dibolehkan menggunakan armada angkut TBS sesuai syarat biaya transportasi angkut Rp300 perkilo sudah termasuk pemuatan dan bongkaran serta kondisi bersih.
Selanjutnya, harga brondolan sesuai standar yaitu Rp900 perkilo, lalu PT UTS bersedia menerima karyawan setempat sesuai kriteria dan kebutuhan.
Terkat akses jalan, PT UTS tidak akan menutup jalan dan tetap ikut serta dalam perbaikan dan perawatan jalan, dan poin terakhir bahwa pengelolaan lahan dilakukan sepenuhnya oleh perusahaan sesuai perjanjian KSO.
Penulis : Ricky



Tulis Komentar